产品信息PRODUCTS
不锈钢珠
- 清理用
型式:材質:金属 形状:球形 硬度:中硬度
是最适合用于铝、不锈钢制品、金属模具、小型卷簧等的清理、抛丸强化的投射材
不锈钢珠的主要特点
独有的雾化技术制造出超微细球状不锈钢粒子
不锈钢珠的技术规格
| 化学成分 | C : 0.25% Si: 1.20% Mn: 0.90% Ni: 9.00% Cr:19.00% |
尺寸 (基本粒度) |
BPS040:500~300μm BPS050:300~150μm BPS080:200~100μm BPS150:150~ 50μm BPS300:70μm以下 |
|---|---|---|---|
| 硬度 | 240~350Hv | 捆包形态 | 20kg纸袋/纸箱 |
不锈钢珠的主要用途
铝、不锈钢制品、模具、小型卷簧等的・研磨作业
而且,也可作为热喷镀(金属喷镀法)材料使用。
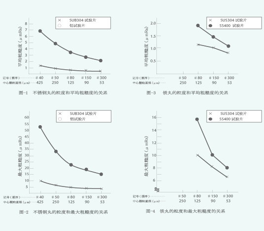
不锈钢珠 各种数据
璃珠与不锈钢珠的消耗率比较图

不锈钢珠的消耗率是玻璃珠的七十分之一!是极长的寿命。
粒度和表面粗糙度的关系图

粒度和残留应力的关系图

